Accueil         Retour mémoire         Voir page 2         Voir page 3       Voir lettre jointe

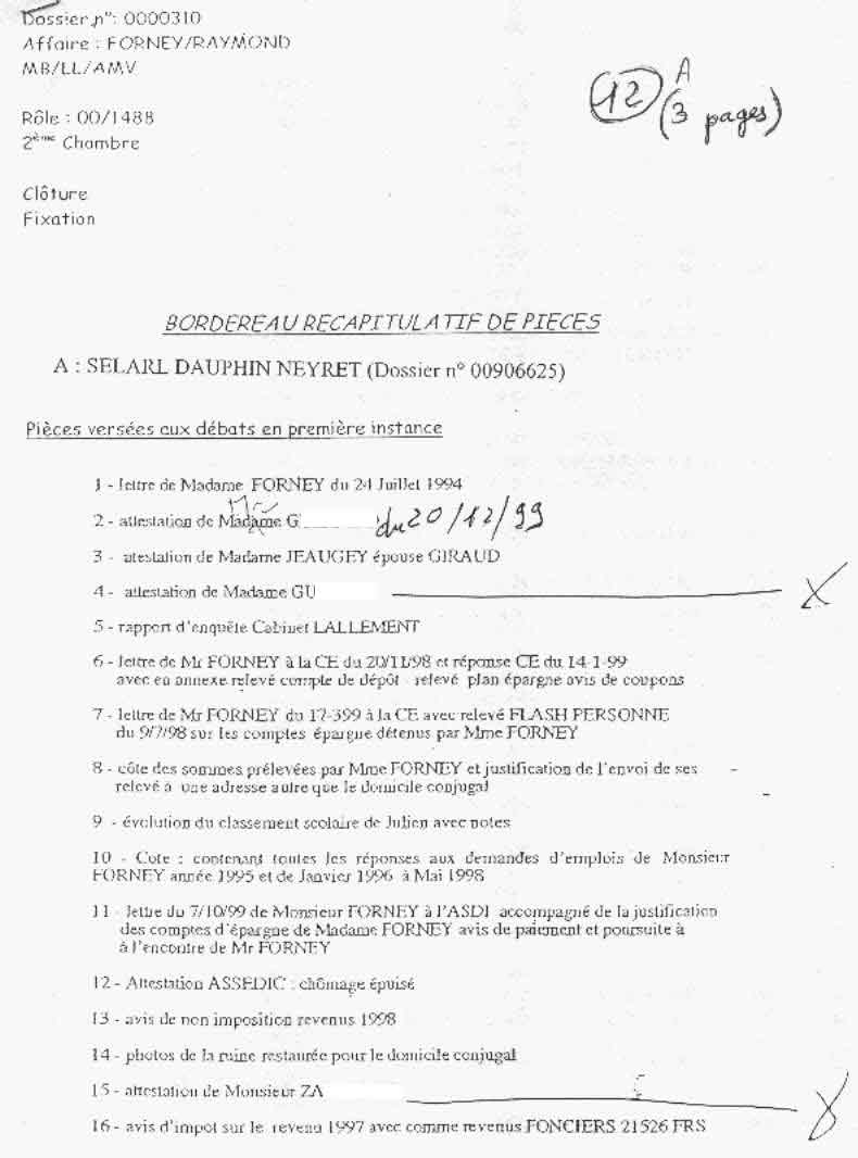
Pour duper son client, Jean CALAS avoué présente son bordereau avec 2 listes (celles de 1er instance et les suivantes) en me disant :
         " Vos pièces sont transmises, voyez elles sont sur le bordereau " !
Le client ignore que les pièces de première instance doivent être retransmises à la Cour d'Appel ! !
Tromperie par un officier ministériel ! Comment le juge DOUYSSET pouvait ignorer cette manipulation ? (Pire, Calas fera retirer les 23 pièces essentielles avant l'audience ! )

Le bordereau de dupe de Jean CALAS